关注我们
扫码关注官方微信
手机版
手机扫描直接访问
纸白银 当前价格
今开
最高
昨收
最低

[原油分析师] 奉百禄:4.26黄金走势面临破位,晚间操作建议走势分析

0
回复
409
查看
[复制链接]
发表于 2023-4-26 16:30:36 | 显示全部楼层 |阅读模式
【行情分析】米国近期整体的经济活动变化不大,仅有两个地区的前景出现恶化。就业市场依然较坚挺,就业和工资持续小幅增长。劳动力市场因供应增加开始出现缓解,雇员对于非周期工资增长的需求有所下降,这也暗示着核心服务通胀项有可能下降。通胀压力有所缓和,但仍然普遍处于高位。广义金融部门的状况急剧恶化,银行业出现了挤兑等压力。综上,奉百禄认为本次的褐皮书措辞相对较悲观,对于米国陷入经济衰退预期增加,进而对金价在中长期基本面构成利好。美联储所面临的既想抗通胀又要保银行的困境成为关注重点,考虑到其无法在避免经济衰退前提下有效控制通胀,故预计美联储最终放弃反通胀又转回降息扩表的日子为期不远,黄金价格有望在下半年迎来突破历史高点的时刻



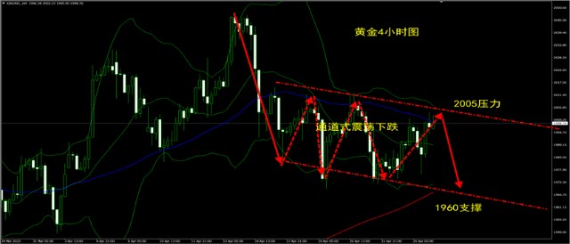
【走势分析】黄金走势上,昨天冲高回落到晚间创新高,走势没有章法,但是趋势还是没跑破位,昨天也算是打破了阴阳平衡,但是能否延续是关键,而实际上对于这种洗盘行情做趋势的会很难受,每次是到位都会破位,也就是说任何破位反弹或回落多都是坑,所以我认为分析纯是多此一举,就涨了空跌了多就对了,昨天破了平衡正常今天会延续大涨,但是应该也是美盘时段会给出明确方向,按照这个形态下去,美盘没有给出新高,那就顺势看空黄金就对了,这是最近几个交易日给出的信号,一直在试探2000/2010区间的压制强度,如果破位就看看30/32一线的压制,不破则看回调1970/65一线的支撑。只要记住老奉的话,中期看结构调整,长期看趋势走向,短期看形势控盘即可



【操作分析】1小时图看,行情接触1977一线后有触底反弹的形态结构出现,那么我们就可以把美盘的低位支撑标注在1977一线,这也是近期的第二次出现的筑底点位,前面出现在上周五的美盘时段,随后周一开盘反弹2001一线,那么近期的短线高点就是一直下移的形态。黄金现在继续维持4小时通道内震荡运行,操作上继续高抛低吸。现在靠近压力位置,黄金基本上维持的是布林上下轨之间运行的规律。下方1970明显支撑,上方2010压力。靠近压力支撑后反向操作,基本不会错。只有行情上涨突破或者下跌破位后才能真正的改变,现在正好触及压力位置,4小时布林上轨压力,也是高点连线的趋势线压力,先看跌后有对下方支撑靠拢后再看涨
【策略分析】综合上述所得,黄金操作上,奉百禄建议见2000附近空单参与,破2010一线损离,目标看1970以下,进一步看1955附近。多单方面,可以在1990一线博个反弹多单,破1985损离,目标看2000一线的阻力,轻仓即可。短线的操作给到这个点位只做参考思路,行情瞬息万变,具体行情,具体对待,由于发文具有时效性,请注意点位差距,具体操作建议,老奉盘中给出,以上分析内容仅代表百禄个人观点,不构成具体操作建议,据此操作,盈亏自负,投资有风险,入市需谨慎
人生如棋,落子无悔。过去的荣耀与成功,现在已不再重要,需要做的,是走好脚下的每一步,下好眼前的每步棋。把每一根平凡的K线都看做是幸福的起点,才能给交易留下最美的回忆,交易中没有那么多来日方长,别在犹豫和后悔中浪费时间。奉百禄鏖战市场多年,始终坚持用实力说话,用诚信待人,不管你是亏损了想回本,盈利了想要扩大利润,还是单子被套了想解出来,来找奉百禄,那我必定不会让你失望,没有金刚钻不揽瓷器活,奉百禄期待你的加入
兵无常势,水无常形!自信源于实力,人格成就魅力。对原油、黄金、白银、外汇等贵金属投资有兴趣却无从下手或者已经在接触却并不理想的朋友,奉百禄**:FBL617每日行情分析、解套策略、中长线布局指导尽在其中,欢迎志同道合之士前来促膝长谈!
编撰/奉百禄**:FBL617公众号:奉百禄

[免责声明]本站所载一切内容仅代表作者个人观点,且仅供参考,不作为投资依据,与商业用途,据此入市,风险自担。发布内容之目的在于传播更多信息,并不意味着第一纸白银分析网网站赞同或者否定部分以及全部观点或内容。如对本文内容有异议,请及时与我们联系,联系QQ:2585119917。
您需要登录后才可以回帖 登录 | 立即注册

本版积分规则

版权所有广西天游达网络科技有限公司桂ICP备2020009678号